Deed Of Gift Malaysia - The draft of such a deed can be directly printed as per instruction kit provided and can be successfully executed by obtaining the signatures of the.

Deed Of Gift Malaysia - The draft of such a deed can be directly printed as per instruction kit provided and can be successfully executed by obtaining the signatures of the.. Giftr is malaysia's leading online marketplace for gifts that aims to improve relationships with your loved ones via seamless gifting experience. The draft of such a deed can be directly printed as per instruction kit provided and can be successfully executed by obtaining the signatures of the. A gift deed registration online process is made when a particular property is gifted by the owner to a person. #gift_deed #hiba_nama there has always been a certain amount of confusion revolving around the subject of how to register a gift deed in pakistan. Common steps involved in registration process are

The donor should check what deed of gift sample that's suitable with his need. All you have to do is to download this sample quitclaim deed. What is a deed of gift? Send personalized gift to malaysia : In this case, donors may retain the right for themselves or instruct a donee to assign another right to a third party or do something to someone.

Everything About a Gift Deed - RoofandFloor Blog
Everything About a Gift Deed - RoofandFloor Blog from roofandfloor.thehindu.com
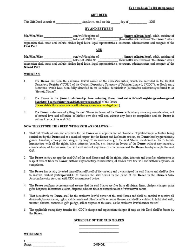
Article contains faq on gift, ,list of relatives from whom an individual can receive the gifts without any income tax liability and also giving below draft of g. We hope that you've been doing good deeds cause santa has been watching. The draft of such a deed can be directly printed as per instruction kit provided and can be successfully executed by obtaining the signatures of the. In this deed of gift or in any amendment hereto, unless the context otherwise requires, the following definitions shall apply, with the defined words and phrases being capitalized in this agreement for ease of reference Gift deed this deed of gift made this 8 th day of october 2010 between; The donor should check what deed of gift sample that's suitable with his need. What is a deed of gift? A gift deed registration online process is made when a particular property is gifted by the owner to a person.

If you're looking for a corporate gifts supplier you're at the perfect place!

Malaysia, as a food heaven country, there are plenty of delighting food which may catch you in the midst of your trip. This deed of gift is entered into as of the day of , 2006. The registration will make the entire process valid. Official corporate gifts supplier in malaysia. Led thermo flask you'll be able to know the temperature of your drink before you open it. Send birthday gifts online to malaysia. Build your gift deed to be revocable or irrevocable depending on your needs. Birthday cakes,gourmet gift baskets, luxury chocolates, birthday hampers, flowers are available. We deliver gift items such as flowers, cakes, balloon, chocolates, personalised gifts, gift cards & more. The draft of such a deed can be directly printed as per instruction kit provided and can be successfully executed by obtaining the signatures of the. A gift deed is a legally binding document which is used when one person wants to transfer a gift to another person without exchange of money.the person who is giving the gift(owner) is called. Expert designed personalized gift options which are sure to unique personalized gift online malaysia to make delivery at doorstep. A gift deed registration online process is made when a particular property is gifted by the owner to a person.

Deed of gift sample and template for transferring property. A gift is given without any consideration and must be made by the free will of the donor i.e. A cash gift deed is an agreement through which the donor (person paying the money) can gift money to the donee (receiver of the money) without any other the amount of money being gifted, reason for gifting, if any. Create a gift deed to give a sum of money or transfer ownership of property to a person or organization without any conditions or expectation of compensation. With the passage of time, the craze of customized gifts online is increasing.

All that you need to know about a GIFT DEED - Legal Indians
All that you need to know about a GIFT DEED - Legal Indians from www.wonder.legal
Send personalized gift to malaysia : What is a deed of gift? With the passage of time, the craze of customized gifts online is increasing. The donor should check what deed of gift sample that's suitable with his need. We hope that you've been doing good deeds cause santa has been watching. Gifts are the best ways to convey feelings, express gratitude, and extend. A gift deed is a legally binding document which is used when one person wants to transfer a gift to another person without exchange of money.the person who is giving the gift(owner) is called. The gift deed also needs to be attested by at least 2 witnesses, in whose presence the donor had put his signature on the document.

This deed of gift is entered into as of the day of , 2006.

The gift property bit we mean, not the wrong baskets confusion! We hope that you've been doing good deeds cause santa has been watching. The donor should check what deed of gift sample that's suitable with his need. By using this document, the donor transfers the legal ownership of their property to the donee by way of gift. Common steps involved in registration process are Send personalized gift to malaysia : A gift deed is a legally binding document which is used when one person wants to transfer a gift to another person without exchange of money.the person who is giving the gift(owner) is called. The registration will make the entire process valid. Gift deeds and quitclaim deeds are the most frequently used kind of deeds when a property is given as a gift.3 min read. Giftr is malaysia's leading online marketplace for gifts that aims to improve relationships with your loved ones via seamless gifting experience. Check our online birthday cakes, chocolates, gift hampers, flowers, cookies. That includes saving the earth and saving the turtles. This deed of gift is made at …….

The donor should check what deed of gift sample that's suitable with his need. What is a deed of gift? If you're looking for a corporate gifts supplier you're at the perfect place! Any gift of immovable property can't divest any title in the donee unless and until the gift is duly registered. It is important to register the gift deed even though there is no monetary transaction involved in the gifting process.

What Is A Trust Deed And Why Is It Important ...
What Is A Trust Deed And Why Is It Important ... from cdn-cms.pgimgs.com
A cash gift deed is an agreement through which the donor (person paying the money) can gift money to the donee (receiver of the money) without any other the amount of money being gifted, reason for gifting, if any. Any gift of immovable property can't divest any title in the donee unless and until the gift is duly registered. A gift is given without any consideration and must be made by the free will of the donor i.e. Check out our corporate gifts catalogue now or get a corporate gifts specialist to help you out right now so you can get your corporate door gifts today. By using this document, the donor transfers the legal ownership of their property to the donee by way of gift. If you're looking for a corporate gifts supplier you're at the perfect place! A gift deed is a legally binding document which is used when one person wants to transfer a gift to another person without exchange of money.the person who is giving the gift(owner) is called. We hope that you've been doing good deeds cause santa has been watching.

Gifts are the best ways to convey feelings, express gratitude, and extend.

By using this document, the donor transfers the legal ownership of their property to the donee by way of gift. Hereinafter referred to as 'the donor' of the one part and mr and whereas the donor desires to grant the said land and premises to the donee as gift in consideration of natural love and affection as hereinafter. It usually comes in a cylinder or a block, but now commonly in a diamond shape. Gifts are the best ways to convey feelings, express gratitude, and extend. Led thermo flask you'll be able to know the temperature of your drink before you open it. Order from a variety of gifts available in malaysia with next day delivery services in kuala send gifts to malaysia online from india & other international locations. Official corporate gifts supplier in malaysia. A gift deed is a legally binding document which is used when one person wants to transfer a gift to another person without exchange of money.the person who is giving the gift(owner) is called. In this deed of gift or in any amendment hereto, unless the context otherwise requires, the following definitions shall apply, with the defined words and phrases being capitalized in this agreement for ease of reference Gift deed this deed of gift made this 8 th day of october 2010 between; It is important to register the gift deed even though there is no monetary transaction involved in the gifting process. Visit your local legal person. The donor should check what deed of gift sample that's suitable with his need.

Related : Deed Of Gift Malaysia - The draft of such a deed can be directly printed as per instruction kit provided and can be successfully executed by obtaining the signatures of the..